沖擊接地電阻值是衡量防雷裝置性能的重要參數。接地電阻的測量是防雷裝置檢測的重要內容。第二類建筑物、第三類建筑物的沖擊接地電阻不大于30Ω,第一類防雷建筑物沖擊接地電阻不大于10Ω是防雷接地的基本要求,但是,接地形式比具體的接地電阻值更重要。很多情況下可以不計及接地電阻值。依據《建筑物防雷技術規范》的相關條款,當接地形式為環形接地滿足一定要求時,接地體可不規定具體的接地電阻值。
1.第一類建筑物,接地體滿足以下條件時,可不規定接地電阻值。
1.1當土壤電阻率小于或等于500Ωm時,對環形接地體所包圍面積的等效圓半徑大于5m的情況,可不計接地電阻值。等效圓半徑小于5m,增加水平接地體或垂直接地體符合下列要求的情況。
1.1.1增加水平接地體,其最小長度應按下式計算:

1.1.2增加垂直接地體,其最小長度應按下式計算:

1.2當土壤電阻率大于500Ωm、小于或等于3000Ωm時,環形接地體所包圍面積的等效圓半徑符合下式的計算的情況,需增加水平接地體和垂直接地體。(等效圓半徑大于該數值是不需增加水平接地體和垂直接地體)

1.2.1增加水平接地體,其最小長度應按下式計算:

1.2.2增加垂直接地體,其最小長度應按下式計算:

2.第二類建筑物,接地體滿足以下條件時,可不規定接地電阻值。
2.1當土壤電阻率小于或等于800Ωm時,對環形接地體所包圍面積的等效圓半徑大于5m的情況。等效圓半徑小于5m,增加水平接地體或垂直接地體符合下列要求的情況。
2.1.1增加水平接地體,其最小長度應按下式計算:

2.1.2增加垂直接地體,其最小長度應按下式計算:

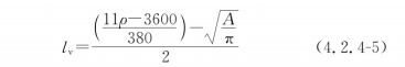
2.2當土壤電阻率大于800Ωm、小于或等于3000Ωm時,環形接地體所包圍面積的等效圓半徑符合下式的計算的情況,需增加水平接地體和垂直接地體。(等效圓半徑大于該數值是不需增加水平接地體和垂直接地體)

2.2.1增加水平接地體,其最小長度應按下式計算:

2.2.2增加垂直接地體,其最小長度應按下式計算:

2.3利用建筑物槽形、板形或條形基礎的鋼筋作為接地體(接地鋼筋總量符合相關要求)或在基礎下面混凝土墊層內敷設人工環形基礎接地體,當槽形、板形基礎鋼筋網在水平面的投影面積或成環的條形基礎鋼筋或人工環形基礎接地體所包圍的面積符合下列規定時,可不補加接地體:
2.3.1當土壤電阻率小于或等于800Ωm時,所包圍的面積應大于或等于 79m2。
2.3.2當土壤電阻率大于800Ωm且小于或等于3000Ωm時,所包圍的面積應大于或等于按下式計算的值:

2.4對6m柱距或大多數柱距為6m的單層工業建筑物,當利用柱子基礎的鋼筋作為外部防雷裝置的接地體并同時符合下列規定時,可不另加接地體:
2.4.1利用全部或絕大多數柱子基礎的鋼筋作為接地體。
2.4.2柱子基礎的鋼筋網通過鋼柱,鋼屋架,鋼筋混凝土柱子、屋架、屋面板、吊車梁等構件的鋼筋或防雷裝置互相連成整體。
2.4.3在周圍地面以下距地面不小于0.5m,每一柱子基礎內所連接的鋼筋表面積總和大于或等于0.82m2。
3.第一類建筑物,接地體滿足以下條件時,可不規定接地電阻值。
3.1對環形接地體所包圍面積的等效圓半徑小于5m時,每一引下線處應補加水平接地體或垂直接地體。當補加水平接地體時,其最小長度應按本規范式(4.2.4-1)計算;當補加垂直接地體
時,其最小長度應按本規范式(4.2.4-2)計算。
3.2利用槽形、板形或條形基礎的鋼筋作為接地體或在基礎下面混凝土墊層內敷設人工環形基礎接地體,當槽形、板形基礎鋼筋網在水平面的投影面積或成環的條形基礎鋼筋或人工環形基礎接地體所包圍的面積大于或等于79m2時,可不補加接地體。
3.3對6m柱距或大多數柱距為6m的單層工業建筑物,當利用柱子基礎的鋼筋作為外部防雷裝置的接地體并同時符合下列規定時,可不另加接地體:
3.3.1利用全部或絕大多數柱子基礎的鋼筋作為接地體。
3.3.2柱子基礎的鋼筋網通過鋼柱,鋼屋架,鋼筋混凝土柱子、屋架、屋面板、吊車梁等構件的鋼筋或防雷裝置互相連成整體。
3.3.3在周圍地面以下距地面不小于0.5m深,每一柱子基礎內所連接的鋼筋表面積總和大于或等于0.37m2。
參考:《建筑物防雷設計規范》(GB50057-2010)
地址:海南省海口市瓊山區振發路10號
電話:15103000158
郵箱:48311567@qq.com

